Günstige Einstellungen für Computer,
Browser und Bildschirm

Sind Ihr Computer, Browser und Bildschirm so eingestellt, daß bei der Benützung von mathe online die optimale Funktionalität gesichert ist? Falls Sie in diesem Punkt nicht ganz sicher sind, können Sie hier einen Kurz-Check durchführen.


Welcher Browser?
  • Ihr Browser muß JavaScript und Java verstehen. Insbesondere

    • Microsoft Internet Explorer 3 und Netscape Navigator 3: Damit kommen Sie bloß für einen Teil von mathe online durch.
    • Microsoft Internet Explorer ab 4: Damit sollte es keine Probleme geben.
    • Netscape Navigator 4: Damit sollte es keine Probleme geben.
    • Netscape Navigator ab 6 und der mit ihm verwandte Mozilla: Leider noch nicht sehr ausgereift! Probleme: Die mathematischen Symbole werden in der Grundeinstellung nicht korrekt dargestellt (für Wege zur Behebung siehe unten) und es treten einige kleinere Fehlfunktionen bei interaktiven Tests (Puzzles) auf, die aber durch geeignete Bedienung umgangen werden können (s.u.).
    • Opera: Sollte den größten Teil des Angebots korrekt darstellen, reagiert aber manchmal etwas träge.
     
    Auf manchen Rechnern mit dem Betriebssystem Windows XP fehlt die "Java Virtual Machine" (JVM). Falls Ihr Browser keine Java-Applets darstellt, können Sie hier feststellen, ob Sie vom XP-Problem betroffen sind (oder ob Ihre Java-Version veraltet ist). Die jeweils neueste Version kann von dieser Seite downgeloadet werden. Nach dem Download startet das Setup von selbst.

    Da ständig neue Browser und neue Versionen (oft mit kleineren Bugs in der Ausführung von JavaScript) herauskommen, ersuchen wir Sie um Mithilfe: Wenn Sie auf offensichtliche Fehler der Funktionalität oder grobe Unstimmigkeiten in Layout, Fenstergrößen usw. stoßen, teilen Sie uns das bitte mit (inklusive der Angabe, welchen Browser welcher Version auf welchem Betriebssystem Sie verwenden).
      Weitere Details zur "Browserfrage" finden Sie in den untenstehenden Punkten.
     
Welche Schriftgröße?
  • Das Schriftbild der in mathe online vorkommenden Formeln ist am schönsten, wenn Ihr Bildschirm folgenden Test besteht:
     
    Test der Schriftgröße
    So stellt Ihr Browser einen Schriftzug dar. Diese Größe sollte er haben.

    Sie können die Schriftgröße unter Windows ändern, entweder indem Sie mit der rechten Maustaste den Hintergrund Ihres Bildschirms (Desktops) anklicken, "Einstellungen" und dann "Kleine Schriftzeichen" ("Small Fonts") wählen. Alternativ dazu können Sie die Schriftgröße in Ihrem Browser ändern (Netscape Navigator: Menü "View", dann "Increase Font" oder "Decrease Font" wählen; Internet Explorer: Menü "View", Untermenü "Fonts").
     
Galerie
  • Die Applets der Galerie laufen nur in einem Browser, der Java interpretieren kann, und in dem diese Funktion aktiviert ist.

  • Die Bildschirmauflösung muß mindestens 800 x 600 Pixel betragen, ansonsten sind einige Applet-Fenster "zu groß".

  • Weiters ist es günstig, wenn als Farbtiefe ihres Bildschirms ein Wert größer als 256 Farben eingestellt ist, damit die Farben nicht verfälscht werden.

  • Die Funktionalität von Java-Applets sollte von ihrer Konzeption her für alle Web-Browser und Betriebssysteme das Gleiche sein sein. Die stetige Weiterentwicklung sowohl von Java als auch der Browser-Technologie bewirken zum gegenwärtigen Zeitpunkt allerdings manchmal Unzulänglichkeiten. Falls solche auftreten, bitten wir um Rückmeldung.

  • Sie können einen kleinen Test durchführen, indem Sie auf den folgenden Button klicken. Er ruft einfach ein kleines Java-Applet auf.
    Falls Ihr System diesen Test nicht besteht, haben Sie entweder

    • Java nicht aktiviert, oder
    • Ihr Browser ist nicht Java-fähig, oder
    • Sie sitzen hinter einer Firewall oder einem allzu strengen Proxy-Server, der Java nicht "durchläßt". Falls das zutrifft, rufen Sie bitte diese Seite auf!

  • Alle Applets eignen sich für Netscape Navigator ab 4 und Microsoft Internet Explorer ab 4. Einige (die vor Mai 2000 entwickelten) laufen auch im Netscape Navigator 3, zeigen in diesem aber zum Teil ernste Reaktionsschwierigkeiten - falls Sie diesen Browser benützen, so empfehlen wir dringend, auf eine modernere Version (ab 4) umzusteigen! Netscape ab 6 und der Opera-Browser stellen manche Schriften in den Applets nicht ganz so schön dar wie gewünscht, und letzterer erweist sich bei Funktionalitäten wie Schiebereglern oder dem Ziehen von Puzzlefeldern ein bisschen träge.

Mathematische Hintergründe
  • Da sich das Problem der mathematischen Symbole in Web-Texten anders stellt als in Java-Applets, haben wir uns für eine Lösung entschieden, die Sonderzeichen im "Symbol"-Schriftsatz darstellt, der üblicherweise auf modernen Plattformen zur Verfügung steht, und auf den die meisten Browser zugreifen können. (Technisch gesprochen, haben wir TeX-Dokumente mit Hilfe des Programms TTH, Version 1.5.5, in HTML konvertiert und nachbearbeitet). Allgemeine Informationen über den "Symbol"-Schriftsatz und damit verbundene Probleme finden Sie im TTH-Manual.

  • Netscape ab 6 und Mozilla stellen in der Grundeinstellung mathematische Symbole nicht korrekt dar. Die Behebung dieses Problems unter Windows ist leicht: Haben Sie Netscape ab 6 oder Mozilla installiert, so befindet sich auf Ihrem Computer (innerhalb des Netscape- bzw. Mozilla-Verzeichnisses, welches seinerseits wahrscheinlich unter Programme\ oder Program Files\ liegt) eine Datei namens fontEncoding.properties, deren Pfad mit

    ...\res\fonts\fontEncoding.properties

    endet. In ihr ersetzen Sie mit Hilfe eines Text-Editors (z.B. dem Programm "Editor", englisch: "Notepad") die Zeile

    encoding.symbol.ttf = Adobe-Symbol-Encoding

    durch

    encoding.symbol.ttf = windows-1252

    Damit der Browser nach dieser Änderung MathML korrekt anzeigt, müssen zusätzlich in der Datei ...\res\mathml.css in jener Zeile, die mit

    font-family: CMSY10, Symbol, Times ...

    beginnt, die beiden Eintragungen Symbol und Times zu vertauscht werden. Sie können diese beiden Schritte auch ein Programm ausführen lassen, das Sie auf dieser Seite finden.

  • Hinweise für die Behandlung des Problems mit Mozilla/Netscape ab 6 unter Linux/Unix finden Sie hier.

  • Falls Netscape 4 unter Linux/Unix die mathematischen Symbole falsch darstellt, tragen Sie bitte

    Netscape*documentFonts.charset*adobe-fontspecific:  iso-8859-1

    in die Datei .Xdefaults (oder .Xresources) des Home-Verzeichnisses ein (Detailinformation hier).

  • Falls Sie einen MacIntosh-Computer benützen, müssen Sie in Ihrem Browser "MacRoman" bzw. "Western(MacRoman)" als Document Encoding (unter View) einstellen. Ansonsten werden die mathematischen Symbole nicht richtig dargestellt (Detailinformation).

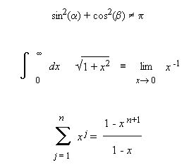
  • Ein kleiner Test: Links sehen Sie die von Ihrem Browser dargestellten Symbole, rechts davon ein graphisches Bild, das Ihnen zeigt, wie die Symbole aussehen sollten.

    sin2(a) + cos2(b) ¹ p

    ó
    õ
    ¥

    0 
    dx     _____
    Ö1 + x2
     
      º  
    lim
    x® 0 
     x -1

    n
    å
    j = 1 
    x j = 1 - x n+1
    1 - x
    So stellt Ihr Browser die Symbole dar. So sollten die Symbole aussehen.

    Stimmen die Symbole im Großen und Ganzen überein? Dann hat Ihr System den Test bestanden. Falls dies nicht der Fall ist, lesen Sie bitte noch einmal die vorgehenden Punkte! Falls sich das Problem nicht beheben läßt, bitten wir um Rückmeldung.
    Falls die Schriftgrößen gröblich nicht übereinstimmen: siehe den obigen Punkt Welche Schriftgröße?

  • Die Texte der mathematischen Hintergründe sind gewöhnliche Web-Dokument und können als solche ausgedruckt werden. Einige Kombinationen Browser/Drucker kommen mit längeren Web-Seiten nicht gut zurecht. Falls Ihr Drucker manche Dokumente unvollständig ausdruckt, gehen Sie - falls vorhanden - auf die Option Print Preview (im File-Menü), blättern Sie alle Druckseiten in der Vorschau durch und drucken Sie das Dokument dann aus. Das hilft in vielen Fällen.

Puzzles zum Selbermachen, interaktive Tests und Unterrichtsvorschläge
  • Manche dieser Anwendungen (insbesondere die Puzzles zum Selbermachen und die Puzzles der interaktiven Tests) laufen im Netscape Navigator 3 nicht, weil neuere HTML- und Java-Funktionalitäten benützt werden, die er nicht versteht. Andere (die Online-Arbeitsbklätter) laufen zwar in diesem Browser, aber nicht immer fehlerfrei. Falls Sie ihn benützen, so empfehlen wir dringend, auf eine modernere Version (ab 4) umzusteigen! Leider stellt Netscape 6+ manche Puzzles mit kleineren Fehlfunktionen dar, die allerdings durch einen kleinen Trick in der Bedienung umgangen werden können. (Darauf werden Sie automatisch hingewiesen, wenn Sie ein solches Puzzle in Netscape 6+ oder dem verwandten Mozilla-Browser aufrufen).

 Zum Seitenanfang
 Zur Galerie
 Zu den Mathematischen Hintergründen
 Zum Lexikon
 Zu den interaktiven Tests
 Zu den Mathe-Links und Online-Werkzeugen
 Zur Welcome Page
   Übersicht über die Lernpfade
 Open Studio Materialien
 Open Studio Eingang